Contact Us

TEL: +86-632-3671188
FAX: +86-632-3671189
E-mail: export@krchemical.com
Website: www.kairuiwater.com
ADD: No.1, Fuqian South Road, Xuecheng Chemical Industrial Park, Xuecheng District, Zaozhuang City, Shandong Province, China

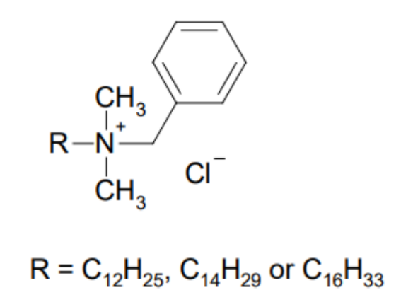
Alkyl Dimethyl Benzyl Ammonium Chloride
(Benzalkonium Chloride) (ADBAC/BKC) C12:C14:C16=4:5:1

CAS No. 68424-85-1        EC No.:  270-325-2

Molecular weight: ≈360.0

Molecular Formula:  Cn+9H2n+14NCl (n=12,14,16)

Structural Formula:

 

Properties:

ADBAC/BKC contains the active substance C12-14 alkyl dimethyl benzyl ammonium chloride (ADBAC). The active substance is a cationic molecule offering good surfactant properties and can be formulated together with nonionic and/or amphoteric surfactants. ADBAC/BKC is used in several applications, such as food processing, institutional, veterinary, healthcare, and medical device disinfectants.

ADBAC/BKC is one of the Quaternary ammonium class of Cationic surfactants, belonging to nonoxidizing biocide. It is widely used as a disinfectant in the Hospital, Livestock and Personal Hygiene sectors. Dual biocidal and detergency properties ensure high efficacy against Bacteria, Algae and Fungi and enveloped Viruses at exceptionally low ppm concentrations. ADBAC/BKC also has dispersing and penetrating properties, with advantages of low toxicity, no toxicity accumulation, soluble in water, convenient in use, unaffected by water hardness. ADBAC/BKC can be also used as anti-mildew agent, antistatic agent, emulsifying agent and amendment agent in woven and dyeing fields.

Items Index
Oil & Gas Pipeline corrosion inhibitor. Prevents formation of sulphurous gases. De-emulsifier/sludge breaker for enhanced oil extraction.
Manufacture of Detergent-Sanitisers Benzalkonium chloride safely incorporates both Microbicidal & Detergency Properties into Products for Soil Penetration & Disinfection, which makes it ideal for Formulation of Hygiene Products for Personal Hygiene, Hospital, Livestock and Food & Dairy use.
Pharmaceuticals & Cosmetics Safety Factor of Benzalkonium Chloride leads to use in Various Topical and Ocular Products as a Preservative and to optimise Emolliency and Substantivity
Food & Beverage Industry On account of its non-toxic, non-corrosive, non-tainting, non-staining characteristics, Benzalkonium Chloride is widely used in the Formulation of Cleaner-Sanitisers for:
Dairy Industry Fisheries Food Storage Tanks
Slaughter Houses Bottling Plants Milk Storage Tanks
Breweries Catering Industry Cold Storage plants
Polymer & Coatings Benzalkonium Chloride is widely used as an Anti-Static, Emulsifier & Preservative in the Coatings Industry (Paints, Wood Treatment, Electronics)
Chemical Industry Benzalkonium Chloride has diverse applications in the Chemical Industry as Precipitant, Phase Transfer Catalyst, Emulsifier/De-Emulsifier, etc.
Water Treatment Benzalkonium Chloride is used in Water & Effluent Treatment Formulations and Algaecides for Swimming Pools
Aquaculture Benzalkonium Chloride reduces the requirement of harmful Antibiotics in Aquaculture through improved hygiene. Used for Water Treatment, General Site Disinfection, Fish Parasite Removal, Prevention of Infectious Disease In Fish & Shellfish.
Timber Protection Global environmental concern has led to increasing replacement of chlorinated biocides with safer, biodegradable Benzalkonium Chloride in Wood Protection. It displays excellent fungicidal and algaecidal properties, and is highly effective against other organisms in combination formulations.
Pulp & Paper Industry Benzalkonium Chloride is used as a General Microbicide for Slime Control & Odour Management, and improves Paper Handling (Imparts Strength & Antistatic properties)
Textile Industry Benzalkonium Chloride solutions are used as Moth Repellents, Permanent Retarders in Dyeing of Acrylic Fibres with Cationic Dyestuffs.
Leather Industry Benzalkonium Chloride inhibits growth of Mould & Mildew on Hides. Facilitates Leather Softening, Wetting & Dyeing.
Horticulture & Household Benzalkonium chloride is highly effective against Mould, Mildew, Moss, Fungi & Algae and is used for cleaning and preparation of all types of Surfaces: Greenhouses, Roofing, Paths, Wooden decking, Sheds, Masonry

Specification:

Items Index
Appearance Pale yellow transparent liquid Pale yellow transparent liquid
Active content, % 50 min 80 min
Amine salt, % 1.0 max 1.0 max
pH 6.0~8.0(as it) 6.0-8.0(1% water solution)

Usage:

As nonoxidizing boicide, dosage of 50-100mg/L is preferred; as sludge remover, 200-300mg/L is preferred, adequate organosilyl antifoaming agent should be added for this purpose. ADBAC/BKC can be used together with other fungicidal such as isothiazolinones, glutaraldegyde, dithionitrile methane for synergism, but cannot be used together with chlorophenols. If sewage is appeared after thrown of this product in circulating cool water, the sewage should be filtered or blown off in time to prevent their deposit in bottom of collecting tank after froth disappearance.

No blending with anion surfactant.

Package and Storage:

200L plastic drum,IBC(1000L),customers’ requirement. Storage for one year in shady room and dry place.

Safety Protection:

A little smell of almond, no visible stimulation to skin. When contacted, flush with water.