CAS No. 20592-85-2
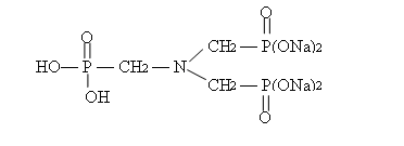
Molecular Formula: C3H8NO9P3Na4 Molecular weight: 387
Structural Formula:

ATMP•Na4 is the salt of ATMP, it can inhibit the scale formation, calcium carbonate in particular, in water system. ATMP•Na4 can be used in circulating cool system in power plant, oil refinery plant and oilfield refill water system. ATMP•Na4 has good synergistic effects with other additives, in neutral to acidic condition, no ammonia smell is let off.
| Items | Index |
|---|---|
| Appearance | Colorless or light yellow transparent liquid |
| Active content(ATMP), % | 29.4-32.4 |
| Active content(ATMP•Na4), % | 38.0-42.0 |
| pH(1% water solution) | 6.0-8.0 |
| Fe, mg/L | 10.0 max |
| Density (20℃), g/cm3 | 1.35-1.45 |
ATMP•Na4 is used together with other organophosphonic acid, polycarboxylic acid or salt to form organic alkaline agents, it is used in circulating cool water system for all water quality.
200L plastic drum,IBC(1000L),customers’ requirement. Storage for ten months in shady room and dry place.